Hằng đẳng thức mũ 3
Hằng đẳng thức mũ 3 là một trong những kiến thức quan trọng trong chương trình đại số, giúp học sinh rút gọn biểu thức, phân tích đa thức và giải toán nhanh hơn. Việc nắm chắc các công thức này không chỉ giúp bạn làm bài thi tốt mà còn tạo nền tảng cho các kiến thức nâng cao hơn.
Hằng đẳng thức là các công thức biểu diễn khai triển của lũy thừa bậc ba (mũ 3) của một tổng hoặc hiệu. Đây là những đẳng thức luôn đúng với mọi giá trị của biến.
Nói đơn giản, thay vì nhân một biểu thức 3 lần, bạn có thể dùng công thức để khai triển nhanh hơn.
Ví dụ:
(a + b)³ không cần nhân (a + b)(a + b)(a + b)
Chỉ cần áp dụng công thức có sẵn
Hằng đẳng thức thường xuất hiện trong:
Rút gọn biểu thức
Phân tích đa thức thành nhân tử
Giải phương trình

Tính chất cơ bản của hằng đẳng thức
Đây là 4 công thức quan trọng nhất mà bạn bắt buộc phải thuộc:
Lập phương của một tổng
(a + b)^3=a^3+3a^2b+3ab^2+b^3
Lập phương của một hiệu
(a - b)^3=a^3 - 3a^2b+3ab^2 - b^3
Tổng hai lập phương
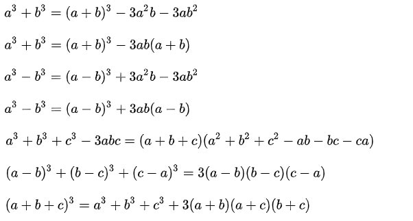
a^3+b^3=(a + b)(a^2 - ab + b^2)
Hiệu hai lập phương
a^3 - b^3=(a - b)(a^2 + ab + b^2)
Nhận xét quan trọng
Hai công thức đầu dùng để khai triển
Hai công thức sau dùng để phân tích thành nhân tử
Dấu của các hạng tử rất dễ nhầm nên cần chú ý kỹ
Việc học thuộc lòng có thể khó, nhưng nếu có mẹo bạn sẽ nhớ rất nhanh
Nhớ theo quy luật " 1 - 3 - 3 - 1"
Cả hai công thức (a ± b)^3 đều có dạng:
a^3
± 3a^2b
3ab^2
± b^3
Chỉ cần nhớ dãy số: 1 - 3 - 3 - 1
Quy tắc dấu
(a + b)³ → tất cả dấu “ +”
(a - b)³ → dấu xen kẽ:+-+-
Mẹo nhớ nhanh
“ Lập phương một tổng: giữ nguyên dấu”
“ Lập phương một hiệu: đổi dấu xen kẽ”
Cách học hiệu quả
Viết lại công thức mỗi ngày 2– 3 lần
Làm bài tập ngay sau khi học
So sánh giữa các công thức để tránh nhầm

Hằng đẳng thức
Dưới đây là các dạng bài phổ biến giúp bạn luyện tập từ cơ bản đến nâng cao.
Dạng 1: Khai triển biểu thức
Bài tập: Khai triển (x + 2)³
Áp dụng công thức:
(x + 2)³
=x³ +3x² · 2+3x· 2² +2³
=x³ +6x² +12x+8
Dạng 2: Khai triển biểu thức có dấu trừ
Bài tập: Khai triển (2x - 3)³
Ta có:
(2x - 3)³
=(2x)³ - 3(2x)² · 3+3(2x)· 3² - 3³
=8x³ - 36x² +54x - 27
Dạng 3: Phân tích thành nhân tử
Bài tập: Phân tích x³ +8
Ta nhận thấy:
8=2³
⇒ x³ +2³ =(x + 2)(x² - 2x + 4)
Dạng 4: Phân tích hiệu hai lập phương
Bài tập: x³ - 27
Ta có:
27=3³
⇒ x³ - 3³ =(x - 3)(x² + 3x + 9)
Dạng 5: Vận dụng nâng cao
Bài tập: Tính nhanh giá trị
(x + y)³ - (x - y)³
Áp dụng công thức:
=[x³ +3x² y+3xy² +y³ ]
[x³ - 3x² y+3xy² - y³ ]
Rút gọn:
=6x² y+2y³
Học sinh trong giờHằng đẳng thức không chỉ dùng trong bài tập mà còn có nhiều ứng dụng thực tế.
Rút gọn biểu thức nhanh
Trong các bài toán phức tạp, thay vì nhân nhiều lần, bạn chỉ cần áp dụng công thức để rút gọn nhanh chóng.
Giải phương trình đại số
Nhiều phương trình bậc cao có thể đưa về dạng:
Tổng hoặc hiệu hai lập phương
→ giúp giải nhanh hơn
Ứng dụng trong hình học
Một số bài toán thể tích, đặc biệt là hình lập phương, có liên quan trực tiếp đến lũy thừa bậc ba.
Ứng dụng trong lập trình và tính toán
Trong các thuật toán:
Tối ưu tính toán
Giảm số phép nhân
Việc sử dụng hằng đẳng thức giúp tăng tốc độ xử lý.
Nền tảng cho kiến thức nâng cao
Hằng đẳng thức là bước đệm để học:
Đa thức nhiều biến
Giải tích
Đại số nâng cao
Hằng đẳng thức là một phần kiến thức quan trọng, giúp bạn:
Khai triển nhanh biểu thức
Phân tích đa thức hiệu quả
Giải toán chính xác và tiết kiệm thời gian
Để học tốt phần này, bạn cần:
Thuộc 4 công thức cơ bản
Hiểu bản chất thay vì học vẹt
Luyện tập thường xuyên
Nếu bạn đang học toán hoặc luyện thi, hãy chắc chắn rằng bạn đã nắm vững phần hằng đẳng thức – vì đây là “ công cụ” xuất hiện rất nhiều trong đề thi.